핵심 요약
의료 영상 분석에서 기존 AI 모델들이 특정 조건에서 데이터를 제대로 구분하지 못하고 다수결로만 예측하는 '고전적 붕괴' 현상을 양자 컴퓨팅 기술로 해결할 수 있음을 입증했다. 실제 흉부 엑스레이 데이터를 활용하여 양자 머신러닝이 실질적인 의료 진단 보조 도구로서 고전 모델보다 더 정밀한 분류가 가능함을 보여준 중요한 사례이다.
왜 중요한가
의료 영상 분석에서 기존 AI 모델들이 특정 조건에서 데이터를 제대로 구분하지 못하고 다수결로만 예측하는 '고전적 붕괴' 현상을 양자 컴퓨팅 기술로 해결할 수 있음을 입증했다. 실제 흉부 엑스레이 데이터를 활용하여 양자 머신러닝이 실질적인 의료 진단 보조 도구로서 고전 모델보다 더 정밀한 분류가 가능함을 보여준 중요한 사례이다.
핵심 기여
양자 커널의 구조적 우위 입증
MIMIC-CXR 데이터셋을 활용한 보험 분류 작업에서 QSVM이 고전적 SVM의 F1 스코어 0 붕괴 현상을 극복하고 모든 테스트 설정에서 우위를 점함을 확인했다.
고전적 커널 붕괴 메커니즘 규명
PCA 차원 축소 시 고전적 선형 커널의 유효 랭크가 차원 수 q와 동일하게 제한되어 변별력을 상실하는 반면, 양자 커널은 지수적으로 큰 힐베르트 공간을 활용해 높은 랭크를 유지함을 증명했다.
양자 커널 파이프라인 설계 원칙 제시
Trace 정규화의 필수성, 1-DOF 각도 인코딩의 효율성, 데이터 재업로드 깊이에 따른 성능 변화 등 실무적인 양자 커널 구축 가이드를 제안했다.
핵심 아이디어 이해하기
딥러닝에서 임베딩은 데이터를 고차원 벡터로 표현하여 의미적 유사성을 포착한다. 하지만 고해상도 의료 영상을 처리하기 위해 PCA와 같은 기법으로 차원을 대폭 축소하면, 고전적인 선형 커널은 수학적으로 '유효 랭크'가 급격히 낮아지는 한계에 직면한다. 이는 데이터들이 서로 너무 가깝게 뭉쳐져 분류기가 소수 클래스를 아예 인식하지 못하고 가장 흔한 결과로만 예측하는 '붕괴' 현상으로 이어진다.
양자 커널은 이 문제를 양자 역학의 '중첩'과 '얽힘' 원리로 해결한다. 데이터를 양자 상태로 변환할 때, 큐비트 수가 적더라도 양자 상태가 존재할 수 있는 공간인 '힐베르트 공간'은 큐비트 수에 따라 지수적으로 확장된다. 예를 들어 큐비트가 11개만 있어도 양자 커널은 고전 모델보다 훨씬 복잡하고 풍부한 데이터 간의 관계를 계산할 수 있는 공간을 확보하게 된다.
결과적으로 양자 커널은 고전 모델이 정보 부족으로 포기해버리는 좁은 차원 내에서도 데이터 사이의 미세한 차이를 찾아낸다. 이는 마치 저해상도 사진에서 보이지 않던 경계선이 특수한 필터를 통해 선명하게 드러나는 것과 같으며, 이를 통해 의료 진단과 같이 클래스 불균형이 심한 실제 문제에서 유의미한 예측 성능을 유지할 수 있게 한다.
관련 Figure

히트맵의 오프디아고날(off-diagonal) 블록 구조가 클래스 경계를 명확히 반영하고 있으며, 이는 양자 커널이 데이터 간의 변별력 있는 구조를 성공적으로 학습했음을 나타낸다.
MedSigLIP-448 모델의 q=11일 때 양자 커널 행렬 히트맵
방법론
전체 프로세스는 의료 파운데이션 모델(MedSigLIP-448, RAD-DINO, ViT-patch32)에서 추출된 동결 임베딩을 입력값으로 사용한다. 이 고차원 벡터를 PCA를 통해 q차원(q ≤ 16)으로 압축한 뒤, MinMaxScaler를 사용하여 [-1, 1] 범위로 스케일링하여 양자 회로의 회전 각도로 입력한다.
핵심 메커니즘은 1-DOF(Degree of Freedom) BSP(Block-Sparse Parameterization) 회로를 사용한다. 각 큐비트에 대해 하나의 Ry 회전 연산을 수행하여 데이터를 인코딩하며, CNOT 게이트를 링(ring) 구조로 배치하여 큐비트 간 얽힘을 생성한다. 이 과정을 통해 입력 데이터 u는 유니터리 연산 U(u)를 거쳐 양자 상태로 매핑된다.
양자 커널 계산은 Compute-uncompute 전략을 사용한다. 두 데이터 포인트 ui, uj에 대해 |<0|U†(ui)U(uj)|0>|² 연산을 수행하여 내적 값을 구한다. 이 값은 두 양자 상태 사이의 유사도를 의미하며, 최종적으로 Trace 정규화(K_Q / tr(K_Q)) 과정을 거쳐 SVM 솔버에 전달된다. Trace 정규화는 커널 행렬의 대각 성분 합을 1로 맞춰 서로 다른 스케일의 커널을 공정하게 비교할 수 있게 한다.
주요 결과
메인 벤치마크인 Tier-1 비교(최적화 없는 QSVM vs 선형 SVM)에서 QSVM은 18개 모든 설정에서 소수 클래스 F1 스코어 우위를 점했다. 특히 고전 선형 SVM은 90-100%의 실험 케이스에서 F1=0으로 수렴하며 완전히 붕괴했으나, QSVM은 유의미한 재현율을 유지했다. MedSigLIP-448 모델 기준 q=11에서 QSVM은 평균 F1 0.343을 기록하여 고전 모델(0.050) 대비 +0.293의 압도적인 성능 향상을 보였다.
Ablation study 결과, Frobenius 정규화는 양자 커널에서도 성능 붕괴를 일으키는 반면 Trace 정규화는 성능 유지에 필수적임이 확인됐다. 또한 3-DOF 회로보다 1-DOF 회로가 더 나은 성능을 보였는데, 이는 과도한 파라미터화가 오히려 양자 간섭 구조를 파괴할 수 있음을 시사한다.
효율성 분석 측면에서 양자 커널의 유효 랭크는 q=11일 때 69.80에 도달하여, 이론적 한계인 11에 갇힌 고전 커널보다 약 6.3배 높은 복잡도를 수용할 수 있음을 증명했다. 이는 양자 우위가 단순한 하이퍼파라미터 튜닝의 결과가 아니라 커널의 구조적 특성에서 기인함을 뒷받침한다.
관련 Figure

큐비트 수가 증가함에 따라 F1 스코어가 전반적으로 상승하는 경향을 보이며, 특히 MedSigLIP-448 모델이 q=11 부근에서 정점을 찍고 이후 농축(Concentration) 현상으로 인해 하락하는 비단조적 패턴을 확인할 수 있다.
큐비트 수(q) 증가에 따른 테스트 정확도 및 소수 클래스 F1 스코어 변화 곡선
기술 상세
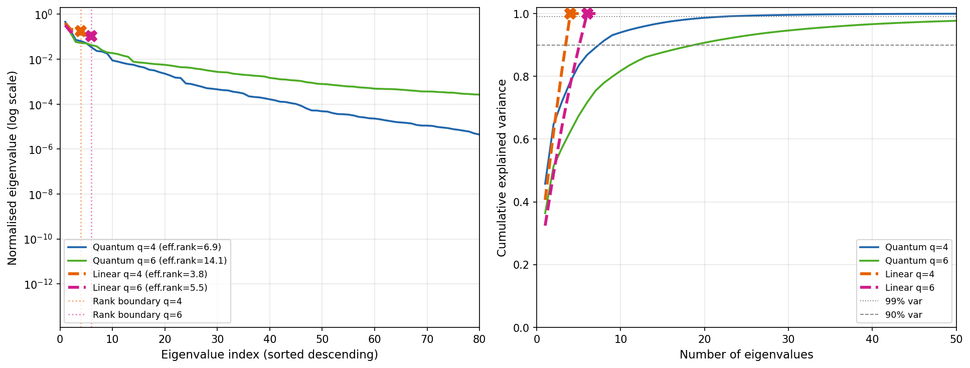
본 연구의 아키텍처는 고정된 파운데이션 모델의 임베딩을 양자 특성 맵(Quantum Feature Map)으로 재투영하는 구조이다. 핵심적인 기술적 차별점은 '고전적 커널 붕괴'를 수학적 랭크 부족으로 정의하고, 양자 커널이 2^q 차원의 힐베르트 공간을 활용함으로써 이를 물리적으로 회피한다는 점을 입증한 것이다.
이론적 기반으로 Shannon 엔트로피를 이용한 유효 랭크(Effective Rank) 분석을 도입했다. 고전 선형 커널 행렬 K_L = X_norm X_norm^T는 데이터 차원 q보다 큰 랭크를 가질 수 없으므로, q가 작을 때 행렬의 고윳값이 소수에 집중되어 변별력을 잃는다. 반면 양자 커널 K_Q는 비선형 매핑을 통해 고윳값 분포를 훨씬 넓게 퍼뜨려 높은 유효 랭크를 확보한다.
구현 측면에서는 Qiskit의 Statevector 시뮬레이터를 사용했으며, 대규모 배치를 위해 'renew' 피처를 활용한 효율적인 커널 계산 최적화를 적용했다. 또한 'Barren Plateau' 현상이 데이터 구조와 회로 아키텍처에 따라 특정 큐비트 수(q=16)에서 모델별로 다르게 나타남을 관찰하여, 양자 이득이 발생하는 최적의 윈도우(q=9~12)가 존재함을 밝혀냈다.
관련 Figure

고전 커널(점선)은 랭크 경계(Rank boundary)에서 고윳값이 급격히 0으로 떨어지는 반면, 양자 커널(실선)은 경계를 넘어 훨씬 완만하게 감쇠하며 높은 유효 랭크를 유지함을 보여준다. 이는 양자 커널이 더 풍부한 정보 표현력을 가짐을 시각적으로 증명한다.
양자 커널과 고전 선형 커널의 고윳값 분포(Eigenspectrum) 비교 그래프
한계점
본 연구는 노이즈가 없는 시뮬레이션 환경에서 수행되었으므로, 실제 양자 하드웨어에서의 게이트 오류나 판독 노이즈가 성능에 미치는 영향은 고려되지 않았다. 또한 특정 의료 데이터셋(MIMIC-CXR)과 SVM 기반 분류기에 한정된 결과이므로, 다른 아키텍처나 데이터셋으로의 일반화 여부는 추가 검증이 필요하다.
실무 활용
본 연구는 현재의 제한된 양자 하드웨어(NISQ) 환경에서도 의료 영상 분석과 같은 실무적인 작업에서 양자 이득을 얻을 수 있는 구체적인 파이프라인을 제시한다.
- 클래스 불균형이 심한 의료 영상 기반 보험 유형 또는 인구통계학적 특성 분류
- 저차원 특징 공간에서 고전 모델이 성능 붕괴를 일으키는 소규모 데이터셋 분석
- 의료 파운데이션 모델의 임베딩 성능을 극대화하기 위한 양자 강화 분류기 구축
코드 공개 여부: 공개
코드 저장소 보기키워드
코드 예제
U(u) = \prod_{d=1}^{q} [CNOT_{d, (d \text{ mod } q)+1} \cdot R_y(u_d)]본 연구에서 사용된 1-DOF BSP 양자 회로의 유니터리 연산 구조
AI 요약 · 북마크 · 개인 피드 설정 — 무료
출처 · 인용 안내
인용 시 "요약 출처: AI Trends (aitrends.kr)"를 표기하고, 사실 확인은 원문 보기 기준으로 진행해 주세요. 자세한 기준은 운영 정책을 참고해 주세요.